REN styrker beredskapen gjennom kjøp av generatortransformator av NTE Energi
Brukt transformator som beredskapsreserve gir god økonomi.
Publisert 4. september 2025

REN har kjøpt en brukt generatortransformator fra Nedre Fiskumfoss på 17 MVA. Denne skal bli en av flere beredskapsreserver for kraftprodusenter i Norge.
Den passer spenningsmessig, og med stor sannsynlighet størrelsesmessig, i ca. 40 kraftverk fra 8 MVA til 35 MVA. Med en feilrate på 0,4 % har en omtrent 3 havarier over 20 år. Som er restlevetiden til transformatoren. Dermed kan den bli en god reserve for mindre GSU transformatorer i mange kraftverk. Om den erstatter en transformator for et kraftverk på 15 MVA med 5000 timers brukstid, 60 øre/kWh kraftpris og gjenanskaffelsestid på 2 år for en transformator unngås et tap på 90 MNOK.
Redusert miljøavtrykk
Samtidig sparer avtalen mellom NTE Energi og REN miljøavtrykk gjennom gjenbruk da en unngår å kjøpe en ny beredskapstransformator. Det kan beregnes 450.000 kg CO2 ekvivalenter som tilsvarer 9.000 flyturer Bergen-Trondheim. Det tilsvarer også alle REN sine flyreiser de neste 15 år. I tillegg kan en beregne inn den energien en kan produsere på 75 GWh produsert et annet sted som gir en gevinst på ca. 15-20 gram CO2-ekvivalenter per kWh i 2022 og 2023, ifølge NVE´s klimadeklarasjonen.
Annonse

Del av transformatorsameiet 145 og 72,5 kV
Transformatoren har et omsetningsforhold på 6,6 til 68 kV. Den skal plasseres på det nye transformatorlageret til REN og vil i løpet av høsten inngå i sameiet for transformatorer på 145 og 72,5 kV. Den vil utgjøre en verdi for 17 eiere og 40 transformatorer. Kostanden fordeles på de som vil ha den som reserve. Når en tar den ut ved et havari så kan den stå i 18 måneder som reserve ved et havari uten ekstra kostander enn transport- og riggekostnad. Må den stå over 18 mnd. beregnes en liten leie.

Koblingsgruppe og klokketall
Transformatoren har koblingsgruppe Ynd11. Som betyr stjerne på nettsiden 66 kV og deltavikling på generatorspenningssiden med klokketall 11. Den vil fremdeles kunne brukes der en har Ynd5 som også er vanlig i Norge, men dersom den brukes må man stille om vernene i forhold til faserekkefølge. Tilsvarende koblingsgruppe og klokketall er valgt for alle de større transformatorene som skal bestilles på 145 og 72,5 kV.
Tilleggsutstyr
I tillegg til transformatoren overtar REN 4 vannkjølere 6 gjennomføringer som kan være reserver for denne transformatoren. Disse kan også være en reserve for andre transformatorer som er i bruk. Havarier av gjennomføringer utgjør gjerne en 20 til 25 % av havariene på transformatorer. Dette er også en OFWF som betyr oljeforsert og vannforsert transformator. Noen av transformatoren den kan være reserve for er luftkjølte ONAN. Det kan da være hensiktsmessig å kjøpe inn luftkjøler/kjøleribber alternativt må disse kraftverkene skaffe vann til kjøling. Dette må bli en del av det enkelte kraftverks innsatsplan.

Innsatsplaner
Den enkelte kraftverkseier må da ha innsatsplaner for hvordan en skal kunne få inn transformatoren og satt den i drift på en sikker måte. REN vil også bidra til å lage eksempler på innsatsplaner med sjekklister. Dermed vil eiere av kraftverkene slippe å starte på nytt hver gang. Dette vil være spørsmål om:
- Tiltak i transportvei ut ifra vekt og størrelse
- Tiltak i tunell om en har tunell
- Tiltak for kraner om en har det
- Tiltak for transformatorgrube
- Tiltak for linjespenning tilkobling
- Tiltak for gjennomføringer linjespenning
- Tiltak for gjennomføringer lavspenning
- Tiltak for lavspennings tilkobling
- Tiltak for kjøling
Dette for å nevne noen av det som må planlegges om en får en beredskapshendelse.
Dimensjonerende beredskapsvolum
REN har også en modell for dimensjonering av beredskapsvolum, denne tar utgangspunkt i følgende:
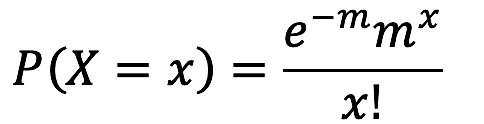
Hvis man antar at feil på komponenter oppstår som tilfeldige, diskrete, uavhengige hendelser kan man modellere forventet antall feil ved bruk av Poissonfordelingen. Den er gitt ved (Høyland, 1988):

der parameteren m er både forventningsverdi og varians. Formelen over oppgir sannsynligheten P for at utfallet X blir x, altså for at antall feil i det tidsrommet man ser på blir x stk. Sannsynligheten for maks 1 feil er dermed summen av sannsynligheten for 0 og 1 feil, mens sannsynligheten for minst to feil i perioden man ser på er 1 minus denne summen. To samtidige feil må altså defineres som to feil innenfor en gitt periode, som må defineres. Her er leveringstid for ny komponent brukt.
Referanse Rapport 111-2024-NORCE Energi og Teknologi utarbeidet med datamodeller for REN.
Mål på sikt
Ideen på sikt er å kunne få tilstrekkelig med reserver for alle norske produksjons-transformatorer slik at alle kraftverkseiere kan bruke disse til en har fått en ny permanent transformator på plass. Dette gjelder både brukte transformatorer og nye transformatorer som skal anskaffes. Til nå er det 22 kraftselskaper med i samarbeidet som utgjør ca. 80% av vannkraft produksjonen i Norge, men det er mulig for flere å bli med på de mindre transformatorene der det er mange kraftverk.
Annonse
